HAMİLTON OPERATORU (nabla-operator,
-operator, hamiltonian)
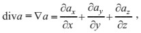
şәklindә diferensial operator; burada i, j, k – koordinat ortlarıdır. H.o. vektor analizindә әsas diferensial әmәliyyatların yazılması üçün istifadә edilir. Əgәr H.o.-nu φ (x, y, z) skalyar funksiyasına tәtbiq etsәk,
φ-ni isә vektorun skalyara hasili kimi başa düşsәk, onda φ funksiyasının qradienti alınar:










