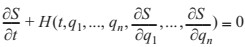
HAMİLTON – YAKOBİ TƏNLİYİ – inteqrallanması holonom konservativ mexaniki sistemin hәllinә gәtirәn Hamilton tәnliklәri ilә tәsvir edilәn 1-ci tәrtib xüsusi törәmәli diferensial tәnlik. H.–Y.t.
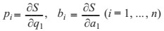
şәklindәdir, burada S – t-dәn vә ümumilәşdirilmiş q1, ... ,qn-dәn asılı hәrәkәt adlanan mәchul funksiya, H = H(t, qi, pi) – Hamilton funksiyası, p1, ... ,pn –ümumilәşmiş impulslar, n – sistemin sәrbәstlik dәrәcәlәrinin sayıdır. Yakobi teoreminә әsasәn, H.–Y.t.-nintam inteqralı, yәni n sayda ixtiyari a1, ... ,an sabitlәrindәn asılı olan vә det([∂2S]/[∂qi∂aj) ≠ 0 şәrtini ödәyәn S(t,qi,ai) hәlli Hamilton tәnliklәrinin ümumi hәllini
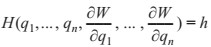
nisbәtlәrindәn qi = qi (t, aj, bj), pi = pi (t, aj , bj) şәklindә almağa imkan verir, burada b1, ... ,bn – ixtiyari sabitlәrdir. Əgәr H Hamilton funksiyası zamandan asılı olmazsa, onda Hamilton tәnliyi üçün H = h = a1 enerji inteqralı doğrudur vә S funksiyasını S = – ht + W(qi, a2, ... ,an) şәklindә axtarmaq olar, burada W funksiyası
tәnliyini ödәyir. H.–Y.t.-nin inteqrallanması hәndәsә vә nәzәri fizikanın, xüsusilә mexanikanın, optika vә kvant mexanikasının bir çox mәsәlәlәrinin hәlli üçün әlverişli üsuldur. Bu tәnlik, hәmçinin, optimal idarәetmә mәsәlәlәrindә tәtbiq olunur.










