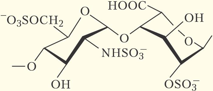
HEPARİN (qlükozaminoqlikuronoqlikan) – heyvan polisaxaridi. Molekulları α-D qlükozamin vә α-L-iduron (bәzәn β-D-qlükuron) turşusunun – (1→4) vәziyyәtindә birlәşmiş qalıqlarından ibarәt tәkrarlanan disaxarid halqalarından tәşkil olunmuşdur. Qlükozamin qalıqlarının aminqruplarının 80%-dәn çoxu sulfatlaşmış, qalanları isә asetillәşmişdir. H., әsasәn, qan damarları divarında proteoqlikan şәklindә yerlәşәn ixtisaslaşmış hüceyrәlәr tәrәfindәn sintez olunur; proteoqlikanın karbohidrat zәncirlәri qan yatağına daxil olarkәn qırılır. Müxtәlif zülallar, o cümlәdәn fermentlәr (mәs., lipoprotenlipaza ilә), böyümә faktorları, hüceyrәdәnkәnar matriks zülallarının fәallaşmasının tәnzimlәnmәsindә iştirak etmәklә onlarla qarşılıqlı tәsirdә ola bilir. H. qanın tәbii antikoaqulyantı olub, antitrombin III-lә (trombinin zülal inhibitoru) birlәşәrәk onun inhibitorlaşdırıcı tәsirini әhәmiyyәtli dәrәcәdә güclәndirir vә bununla da fibrinogenin fibrinә çevrilmәsinin qarşısını almaqla qanın laxtalanmasına mane olur. H. tibdә trombozların, ürәk-damar sisteminin müxtәlif xәstәliklәrinin profilaktika vә müalicәsindә tәtbiq edilir.

Heparinin molekul sahәsi.










