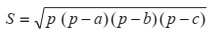
HERON DÜSTURU – üçbucağın S sahәsini onun üç a, b vә c tәrәflәri ilә ifadә edәn
düsturu. Burada p = (a + b + c)/2 – üçbucağın yarımperimetridir. Düstur, Heronun “Metrika”sında verilmişdir (1-ci әsr, o hәlә әvvәllәr Arximedә mәlum idi). Heronun şәrәfinә adlandırılmışdır.










