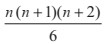
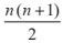
HESABİ SIRA – m dәrәcәli p(x) = a0 + a1x + ...+ amxm çoxhәdlisinin x dәyişәninin ardıcıl mәnfi olmayan tam qiymәtlәrindә (x = 0,1,2,...) aldığı qiymәtlәr ardıcıllığı. m=1 olduqda p(x) = a0 + a1x olur, yәni ilk hәddi a0 vә fәrqi a1 olan әdәdi silsilә alınır. p(x) = x2 vә ya p(x) = x3 olduqda tam әdәdlәrin kvadratları vә ya kubları ardıcıllığı alınır. Əgәr H.s.-nın qonşu hәdlәrinin fәrqindәn ibәrәt ardıcıllıq qursaq vә sonra alınmış fәrqlәr ardıcıllığından onların fәrqini (ikinci fәrqlәri) alsaq vә s., onda m-ci addımda mәlum olur ki, bütün m-ci fәrqlәr bir-birinә bәrabәrdir. Tәrsinә, әgәr hәr hansı әdәdlәr ardıcıllığı üçün onun m-ci fәrqlәri bir-birinә bәrabәrdirsә, onda belә ardıcıllığa m dәrәcәli H.s. deyilir. Bu xassәdәn istifadә etmәklә, onların fәrqlәrindәn çıxış edәrәk, müxtәlif dәrәcәli H.s.-lar qurmaq olar. Mәs., 1, 1, 1,... ardıcıllığına 1, 2, 3,... – natural әdәdlәr ardıcıllığının ilk fәrqlәri kimi; 1, 3, 6, 10,... üçbucaq әdәdlәrinin ikinci fәrqi kimi; 1, 4, 10, 20,... – tetraedr әdәdlәrinin üçüncü fәrqlәri kimi baxmaq olar vә s. Bu әdәdlәrin adları onunla izah edilir ki, üçbucaq әdәdlәr üçbucaq formalı kürәlәr (şәkil 1), tetraedr әdәdlәr tetraedr

Şәkil 1. Şәkil 2.
şәklindә formalar (şәkil 2) әmәlә gәtirir. Üçbucaq әdәdlәr










