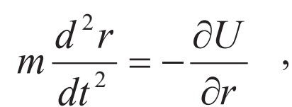
HƏRƏKƏT TƏNLİKLƏRİ, m e x a n i k a d a – hәr hansı bir sistemin hәrәkәtini tәsvir edәn diferensial tәnliklәr. Adәtәn mexanika mәsәlәlәrindә H.t. sistemә tәsir edәn qüvvәlәrlә onların yaratdığı tәcillәri bir-biri ilә әlaqәlәndirir. H.t.-nin formaları müxtәlif ola bilәr vә mәsәlәnin xüsusiyyәtlәrindәn asılı olaraq seçilir. Mәs., qüvvә sahәsindә U potensiala malik m kütlәli maddi nöqtәnin vektor H.t. aşağıdakı kimidir:
burada r – hәrәkәtedәn nöqtәnin radius-vektoru, t – zamandır.










